Get Adobe Flash player
+37
°
C
+38°
+23°
Giurgiu
, 22
+39°+24°
+39°+23°
+37°+21°
+39°+23°
+38°+21°
+39°+21°
Prognoză pe 7 zile

Arhive

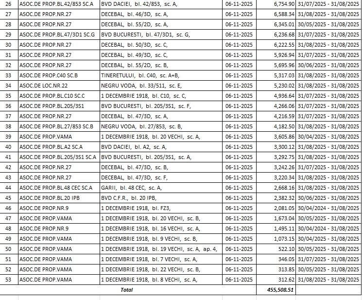
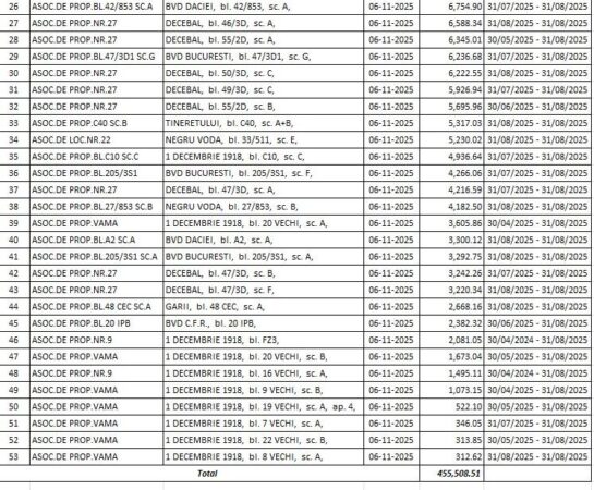
ASOCIAȚIILE DE PROPRIETARI SUNT SOMATE SĂ PLĂTEASCĂ RESTANȚELE LA APĂ

Astăzi, 6 noiembrie,  Asociațiile de Proprietari din municipiu înregistrau peste 455 000 lei restanțe la apă și canal, suma restantă fiind în măsură să îngreuneze activitatea operatorului regional.

Blocajul datorat restanțelor a determinat conducerea Apa Service să someze asociațiile cu restanțe mari, care riscă să fie acționate în instanță, unele scări de blocuri riscând chiar debranșarea de la alimentarea cu apă.

Măsurile amintite se impun întrucât s-a observat că, pe de o parte există asociații care au încasat sume de la consumatori dar întârzie plățile către operator, pe de altă parte unele restanțe sunt vechi de peste 6 luni, unele fiind chiar la nivelul anului 2022.

Apa Service SA se adresează pe această cale tuturor consumatorilor casnici, subliniind că este necesar ca restanțele înregistrate în gospodării să fie plătite cât mai grabnic, pentru a nu se ajunge la debranșarea de la sistemul de apă potabilă.

Pentru o bună înformare a utilizatorilor cu privire la siuația restanțelor, vă puteți adresa Compartimentului Recuperare Debite, la sediul de pe B-dul 1907 ( Pasarelă) sau la tel. 0246 212227, tasta 3.

Conducerea Apa Service SA Giurgiu

Advertisement

Arhive